

A supercapacitor is similar to a rechargeable battery, but unlike the latter, it is not intended for prolonged power supply. Instead, it excels at delivering brief yet potent bursts of energy. Supercapacitors are commonly employed as backup power sources in a variety of applications, including smartphones, automobiles, and compact electronic devices. For instance, in DVRs (Digital Video Recorders), a supercapacitor serves to sustain the charge to ensure the completion and preservation of video recordings in the event of a vehicle stall or loss of primary power supply.
Supercapacitors exhibit reduced wear and, on average, last five to 10 years longer than batteries. Additionally, supercapacitors demonstrate exceptional efficacy over a broad range of temperatures, from -40°C to +65°C, which is twice the operational range of lithium-ion batteries.
A supercapacitor is composed of metal electrodes submerged in an electrolyte—a liquid solution containing free charged particles, both cations and anions. One example of an electrolyte is table salt; when dissolved in water, it dissociates into Na+ and Cl- ions.
The charge in a supercapacitor accumulates within an electrical double layer (EDL) formed at the interface between the liquid electrolyte and the electrode to which the electric potential is connected. The first layer corresponds to the electrode itself, while the second layer comprises the electrolyte ions that are drawn towards the electrode by electrostatic attraction forces.
MIEM HSE researchers have devised a mathematical model of an EDL in which conventional low-molecular-weight electrolytes are replaced by polymer-based alternatives. Polyelectrolytes aid in enhancing electrical capacitance, i.e., how much electricity a device can store, because a charged polymer chain exhibits a more efficient attraction towards the electrode than a low-molecular-weight electrolyte. Their research is published in the journal Physical Review E.
Low-molecular-weight electrolytes encompass organic salts, acids and bases, with free-moving cations and anions. Polymer electrolytes, or polyelectrolytes, are more complex compounds in which ions of one type (such as cations) are cross-linked within long polymer chains, while the other type (anions) remain mobile.
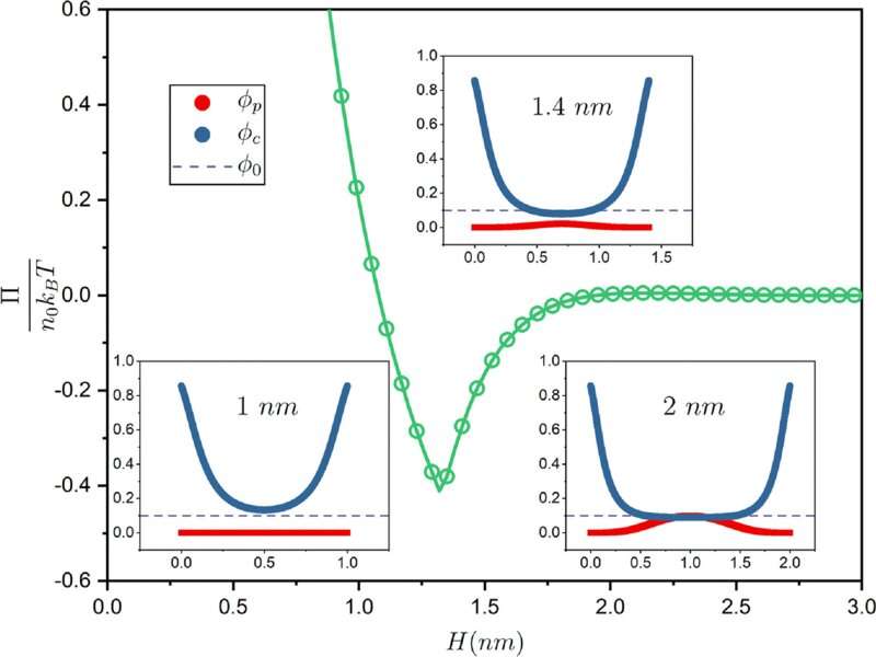
The new model unveiled, for the first time, that when the pores of the electrode are excessively narrow (with a thickness equal to or less than 1 nm), the polymer chains of the electrolyte are unable to penetrate them due to electrostatic repulsion exerted by the pore walls.
“Consider an analogy with pasta and a colander. If we take both long and short pasta, it is easier for the shorter pieces to pass through the colander. However, the larger the holes, the more likely it is for longer pasta to slip through. Polymer chains can be likened to long pasta which can be very difficult to push through a narrow pore,” says one of the study authors, MIEM HSE Professor Yury Budkov.
This phenomenon does not occur with low-molecular-weight electrolytes, as their ion size typically ranges from 0.3 to 0.4 nm, allowing them to move easily within a pore of 1 nm in size.
“By utilizing polymers, we can enhance the electrical capacitance; however, it is crucial to prevent any potential adverse effects. We have identified the optimal parameters for effective performance of the polymer, and we believe that competent use of polyelectrolytes can make it possible to store more energy,” explains Nikolai Kalikin, Junior Research Fellow at HSE MIEM.
Supercapacitors have applications in various industries, including renewable energy, robotics, and even public transportation. For instance, certain electric buses utilize supercapacitors to rapidly recharge during stops and swiftly proceed to the next destination.
“This paper is part of a wider research project. We are currently in the process of developing a methodology for numerically modeling double electrical layers at the interface between metal and electrolyte. We have established a theoretical foundation and are planning to develop a program in the future that will enable us to simulate ion behavior and conduct engineering assessments of differential electrical capacitance,” Budkov comments. “This will aid engineers in developing supercapacitors by providing a deeper understanding of the physical and chemical processes occurring in the double electrical layers, ultimately resulting in the creation of more powerful and efficient devices.”

























